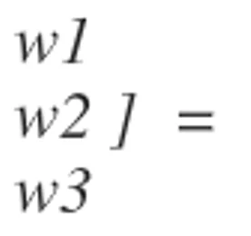
Machine Learning/CNN (ConvNets) 썸네일형 리스트형 (CNN Study) Logistic Regression, Sigmoid Function Linear Regression의 용도를 먼저 생각해보자. Linear Regression 은 주어진 x, y를 이용하여 hypothesis 를 계산하고, 학습된 데이터를 바탕으로 미지의 x'에 대한 y'을 예측해 내는 용도로 사용된다고 볼 수 있다. 이 경우는 y값이 정해져 있지 않은 경우 편리하게 사용될 수 있다.이게 무슨 의미인지 도표를 통해 확인해 보자. x y 10 30 20 40 40 60 50 70 위 경우 아래 수식으로 표현할 수 있는데, 여기서 W = 1, b = 20 을 나타낸다.위 경우에서 만약 x로 50를 입력할 경우 y는 70로 예측이 가능하다. 자 이제 입력데이터에 대한 값에 의미를 부여해보자.x는 공부한 시간, y는 점수라고 하고, 점수가 50점 이상이면 pass 미만이면 fa.. 더보기 (CNN Study) Multi-variable Linear regression Matrix를 이용한 Hypothesis function 을 정의하는 방법과 그 의미를 다룬다. x1 x2 x3 y 1 2 3 8 2 3 4 9 3 4 5 9 이전 포스팅에서 Hypothesis 는 H(x) = wx + b 로 표현하였다.이 것은 x 가 1개 y가 1개 의 training set 일 때 사용할 수 있는 수식이다.위 표와 같이 x의 값이 3개일 경우 아래와 같이 표현 할 수 있다. 아래와 같이 도식화 할 수 있다. 여기서 대문자는 Matrix를 타나낸다.상수의 값을 나타낼 때는 wx 의 표현을 사용하였으나, Matrix 는 1x3 의 x 와 3*1 의 w 로 나타내야 하기 때문에 XW로 표현한다. hypothesis는 위와 같이 도식화 할 수 있으며, cost function 또한 동일하다.. 더보기 (CNN Study) Linear Regression 위키백과통계학에서, 선형 회귀(線型回歸, 영어: linear regression)는 종속 변수 y와 한 개 이상의 독립 변수 (또는 설명 변수) X와의 선형 상관 관계를 모델링하는 회귀분석 기법이다. 한 개의 설명 변수에 기반한 경우에는 단순 선형 회귀, 둘 이상의 설명 변수에 기반한 경우에는 다중 선형 회귀라고 한다.[참고 1] 즉 Linear Regression 이란 간단하게 말해, 입력 X 와 출력 Y 에 대한 관계의 정보를 가진 선형 그래프를 말하고 있다.linear regression 을 표현하는 수식은 다음과 같다.y = wx+b 익숙한 위 수식은 1차원 선형 그래프 함수와 동일하다.w는 기울기를 말하며 b는 x가 0일 때 y의 값이다. 흔히, NN을 표현하기 위해 w는 weight, b는 b.. 더보기 이전 1 다음